团队夏溪副教授提出无粘液滴融合新理论
团队夏溪副教授与香港城市大学张鹏教授合作,提出无粘液滴融合新理论,相关成果以“Scaling law in the inviscid coalescence of unequal-size droplets”为题,发表在流体力学期刊Journal of Fluid Mechanics上。夏溪副教授和池奕承博士为论文第一作者,张鹏教授为通讯作者。

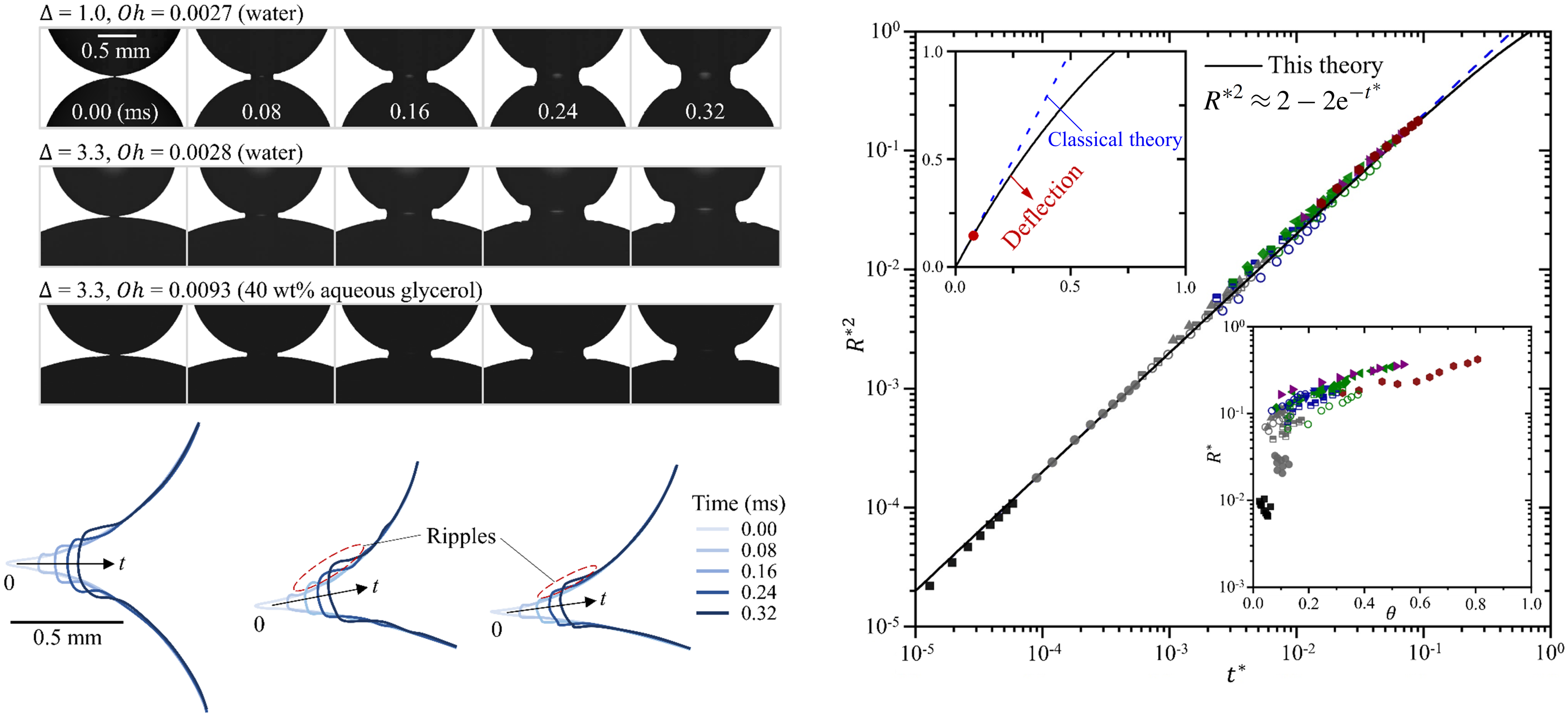
液滴融合是自然界广泛存在的物理现象,在工程技术中也具有重要的应用价值,涉及传统的发动机燃料雾化和喷墨打印,以及新兴的金属增材制造和微流动控制等领域。液滴融合过程往往以两个液滴界面的接触为开端,在极短的时间内形成一个连接两个界面的“液桥”,此后液桥的环形锋面会在毛细力作用下迅速向四周扩展。以往研究发现,等尺寸液滴融合时,液桥在无粘阶段的演化过程存在一个经典的1/2次幂率关系:液桥半径随时间的平方根呈线性增长。然而实际的液滴融合大多发生于不同尺寸的液滴之间,其液桥的演化规律是否满足经典标度率仍需进一步研究。

为了探索两个不同尺寸液滴之间的融合,团队利用高速背光成像法对一系列不同尺寸比的无粘液滴融合过程进行了实验研究,发现液桥的扩展速率在小尺寸比下依然符合1/2次幂标度率,但在大尺寸比下会发生明显偏离。为理解这一现象,研究团队提出了针对非对称液桥锋面的能量平衡分析方法,首次推导了非对称液桥演化的理论模型,实现了对实验中不同尺寸液滴融合过程的归一化预测。该模型虽然在数学形式上具有无标度的特征,但其在较宽的参数空间内依然能够渐进逼近经典标度率,有效解释了实验只能在大尺寸比液滴融合的后期才能观察到标度率偏离的现象。此项工作为不同尺寸液滴的融合研究奠定了理论基础,对于两相流中非对称界面的动力学建模具有参考意义。
该研究工作得到了国家自然科学基金等项目的资助。

